Църквата
Автор: Валентин Велчев
Гръцката дума ekklesia (еклесия) означава „Църква“, т.е. „събрание на хора“ и идва от глагола ekkaleo (екалео), „призовавам“, в случая към спасение. Относно Църквата, понякога се употребява и гръцката дума kiriakon (кириакон) – нещо, което принадлежи на Господа.
Църквата условно се дели на:
Небесна църква – ангелските сили, а също старозаветните и новозоветните светии, които вече са при Бога, наричана още Тържествуваща църква.
Земна църква, която се състои от съвременните вярващи измежду всичките народи и се нарича Войнстваща църква, защото води битка на земята срещу дявола и неговите слуги.
Както ни пояснява сам ап. Павел, Глава на цялата (земна и небесна) Църква е Божият Син Иисус Христос, Който я е изкупил с жертвата Си на кръста:
„3. Благословен да бъде Бог и Отец на Господа нашего Иисуса Христа, Който ни благослови в Христа с всяко духовно благословение от небесата,…
7. в Когото имаме изкупление чрез кръвта Му, прошка на греховете по богатството на Неговата благодат. …
10. в нареждане изпълнението на времената, за да съедини всичко небесно и земно под един Глава – Христа. …“
(Ефес. 1 глава)
Новозаветната Църква, към която принадлежим и ние, е именно основаното, по времето на земния живот на Христа, общество от вярващи в Бога хора, мистично (тайнствено) съединени от Светия Дух в един жив богочовешки организъм, т.е. в едно Тяло Христово с невидим Глава Иисус Христос.
Ап. Петър ни уверява, че Църквата предобразно се оприличава на „духовен храм“, изграден от живи камъни, т.е. от вярващите християни, които са и свето свещенство на Христос, принасящо духовни жертви на живия Бог.
„4. Като пристъпвате към Него (Христос), живия камък, от човеците отхвърлен, но от Бога избран, драгоценен,
5. и вие сами, като живи камъни, съграждайте от себе си духовен дом, свето свещенство, за да принесете духовни жертви, благоприятни Богу чрез Иисуса Христа.“ (I Петр. 2)
За начален момент от съществуването на Новозаветната Църква се смята разговорът на Иисус Христос с учениците Му в Кесария Филипова. Когато Той пита апостолите:
„15. … а вие за кого Ме мислите?
16. Симон Петър отговори и рече: Ти си Христос, Синът на Живия Бог.
17. Тогава Иисус отговори и му рече: блажен си ти, Симоне, син Ионин, защото не плът и кръв ти откри това, а Моят Отец, Който е на небесата;
18. и Аз ти казвам: ти си Петър (на еврейски „камък“), и на тоя камък ще съградя църквата Си, и портите адови няма да ѝ надделеят;“ (Мат. 16)
Иисус Христос изкупи Църквата на кръста, където според думите на апостола „Той я придоби със Собствената си кръв“ (Деян. 20: 28). Затова Църквата няма човешки произход – тя е основана от Бога, изкупена и осветена чрез жертвата на Христа и оживотворена от Светия Дух! За пръв исторически ден от живота на Църквата се смята Петдесетница, когато учениците „се изпълниха с Дух Светий“:
„1. Когато настана ден Петдесетница, те всички в единомислие бяха заедно.
2. И внезапно биде шум от небето, като че идеше силен вятър, и напълни цялата къща, дето седяха.
3. И явиха им се езици, като че огнени, които се разделяха, и се спряха по един на всекиго от тях.
4. И всички се изпълниха с Дух Светий, и наченаха да говорят на други езици, според както Духът им даваше да изговарят.“ (Д. А. 2)
Господ Иисус Христос, в Своите поучения към учениците Си им доверява, че към Църквата, освен евреите, ще бъдат приведени и хора от всичките народи:
„14. Аз съм добрият пастир; и познавам Моите Си, и Моите Ме познават.
15. Както Ме познава Отец, тъй и Аз познавам Отца; и душата Си полагам за овцете.
16. Имам и други овце, които не са от тая кошара, и тях трябва да приведа; и ще чуят гласа Ми, и ще бъде едно стадо и един Пастир.“ (Йоан 10)
За начало на благовестието сред езичниците се счита проповедта на апостол Петър, по време на която римският стотник Корнилий и цялото му семейство са кръстени от Св. Дух, също както и апостолите Христови. След това ап. Петър ги кръщава във вода за „умиване“ на греховете им.
„44. Докато Петър още говореше тия думи, Дух Светий слезе върху всички (в дома на Корнилий), които слушаха словото.
45. А вярващите от обрязаните, които бяха дошли с Петра, се смаяха, че и върху езичници се изля дарът на Светаго Духа;
46. защото ги слушаха да говорят на разни езици и да величаят Бога. Тогава Петър каза:
47. може ли някой да възпре да се кръстят с вода тия, които приеха Дух Светий, както и ние?
48. И заповяда им да се кръстят в името на Иисуса Христа. След това го помолиха да престои у тях няколко дни. (Д. А. 10)
Именно затова ап. Павел пояснява:
„Защото чрез един Дух всички сме кръстени в едно тяло, било иудеи или елини, било роби или свободни; и всички с един Дух сме напоени.“ (1 Кор. 12: 13).
(В Църквата) няма ни иудеин, … ни варварин ни скит, ни роб ни свободник, а всичко и във всичко е Христос. (Кол. 3:11)
А) Свойства на Църквата
В 9-я член на Никео-Цариградския Символ на вярата, съставен от светите отци и учителите на Църквата на Първия и Втория Вселенски събори, е записано:
9. (Вярвам) В Една, Света, Съборна и Апостолска Църква.
1. Вярвам в един Бог Отец, Вседържител, Творец на небето и на земята, на всичко видимо и невидимо.
2. И в един Господ Иисус Христос, Сина Божи, Единородния, Който е роден от Отца преди всички векове: Светлина от Светлина, Бог истинен от Бог истинен, роден, несътворен, единосъщен с Отца, и чрез Когото всичко е станало;
3. Който заради нас човеците, и заради нашето спасение слезе от небесата и се въплъти от Дух Светий и Дева Мария, и стана човек;
4. и бе разпнат за нас при Понтия Пилата, и страда, и бе погребан;
5. и възкръсна в третия ден, според Писанията;
6. и се възнесе на небесата, и седи отдясно на Отца;
7. и пак ще дойде със слава да съди живи и мъртви и царството Му не ще има край.
8. И в Светия Дух, Господа, Животворящия, Който от Отца изхожда, Комуто се покланяме и Го славим наравно с Отца и Сина, и Който е говорил чрез пророците.
9. (Вярвам) В една, света, съборна и апостолска Църква.
10. Изповядвам едно кръщение за опрощаване на греховете.
11. Чакам възкресение на мъртвите
12. и живот в бъдещия век! Амин.
Нека разгледаме тези четири свойства на Църквата, които светите отци са записали в това кратко изложение на християнската вяра.
1) Единство на Църквата
По думите на св. Киприян Картагенски, „Църквата е единна и единствена“. Единството на Църквата е не само мистично, но и съвсем реално единение на всички нейни членове с Христа, както и помежду им, което се осъществява от оживотворяващия и любящ Св. Дух. В своята първосвещеническа молитва Иисус Христос се моли да бъдат всички едно:
„21. да бъдат всички едно: както Ти, Отче, си в Мене, и Аз в Тебе, тъй и те да бъдат в Нас едно, – та да повярва светът, че Ти си Ме пратил.“ (Йоан 17)
Тук единството на Църквата е означено от самия Господ Иисус Христос като толкова велико, че е сравнено с единството на Лицата в Св. Троица! Това единство произтича и от обстоятелството, че, според думите на ап. Павел:
„5. един е Господ, една е вярата, едно е кръщението,
6. един е Бог и Отец на всички, Който е над всички, и чрез всички, и във всички нас.“ (Ефес. 4)
Иисус е източник и пълнота на живота в Църквата, Който е в субективно общение с всеки един от християните чрез нашата вяра и желание да Го следваме. Но тук трябва да обърнем особено внимание и на обективната страна на тази „една вяра“, което означава, че в Църквата има само едно истинно вероучение, или „ортодоксия“.
Иисус свидетелства за Себе Си: „Аз съм пътят и истината и животът; никой не дохожда при Отца, освен чрез Мене.“ (Йоан 14:6)
С други думи, Господ ни заявява, че има само една истина, която води към Бога! Същото нещо потвърждава и ап. Павел, като уверява възлюбеното си чадо, Тимотей, че тази единствена истина се пази в Църквата:
„… да знаеш, как трябва да постъпваш в Божия дом, който е църква на живия Бог, стълб и крепило на истината.“ (I Тим. 2:7)
2) Святост на Църквата
Ап. Павел пише на християните в гр. Ефес:
„25. … Христос обикна църквата и предаде Себе Си за нея,
26. за да я освети, като я очисти с водната баня чрез словото;
27. за да я представи на Себе Си славна църква, която няма петно, или порок, или нещо подобно, но да бъде света и непорочна.“ (Ефес. 5)
Църквата е свята, не защото нейните членове са чисти и съвършени, а защото: Първо, греховете на вярващите са изкупени и простени чрез пролятата кръв при сключването на Новия Завет между Бога и хората. И, второ, защото тайнствено пребиваващият в нея Христос Иисус е свят и непорочен.
Вярващите в Църквата живеят в една реална синергия с Бога, поради която обикват от сърце доброто, правдата и чистотата. Християнинът, дори когато съгреши, поради плътския закон, който е по-силен от нашето желание за добро (Римл. 7), не се удовлетворява и наслаждава на греха, а бърза да се покае и да изправи пътищата си пред Бога. Именно за такъв човек говори ап. Йоан, че наистина е роден от Бога!
„9. Всякой, който е роден от Бога, грях не прави, защото семето Му пребъдва в него; и не може да греши, защото е роден от Бога.“ (I Йоан. 3)
Но, ако вярващият греши надменно и своеволно, потиска и угнетява ближните, разнася лъжливи учения и ереси, без да се покайва и изправя, то апостолът ни предупреждава, че не бива да общуваме с такъв човек и да го смятаме за брат във вярата. В крайна сметка, той трябва да бъде отлъчен и от Църквата.
„9. Писах ви в писмото си – да нямате общение с блудници;
10. и не изобщо с блудниците на тоя свят, или с користолюбци, или с грабители, или с идолослужители, защото, инак, би трябвало да излезете от тоя свят.
11. Но сега ви писах да не се сношавате с оногова, който, наричайки се брат, остава си блудник, или користолюбец, или идолослужител, или хулник, или пияница, или грабител; с такъв дори и да не ядете.
12. Защото моя работа ли е да съдя и външните? Не съдите ли вие вътрешните?
13. Външните пък ще съди Бог. Махнете, прочее, злия изпомежду си.“ (I Кор. 5)
3) Съборност на Църквата
Св. Кирил Йерусалимски пише: „Църквата се именува вселенска, защото учи вселенски (по целия свят) и без недостатък (в пълнота) на всички догмати“.
Непосредствено преди възнесението Си нашият Господ и Бог Иисус Христос заповядва на Своите ученици: „Идете и научете всички народи“. Думата „вселена“ в древността е означавала „населеният свят“. С други думи, Църквата е основана за цялата общност от хора по земята, т.е. нейната проповед за спасение чрез кръста на Христа е предназначена за всичките народи. Господ уверява последователите Си, че Той всякога ще им съдейства при разнасянето на благата вест: „Ето аз съм с вас през всичките дни до свършека на света“ (Мат. 28: 19, 20).
Църквата е вселенска и поради истинността на учението си, защото истината винаги е универсална и една за всички хора. Християнската истина е неизменна, защото Бог не се променя, затова и ап. Павел пише:
„Ако дори ние, или Ангел от небето ви благовестеше нещо по-друго от това, що ние ви благовестихме, анатема да бъде.“ (Гал. 1: 8).
Всеки, който носи еретично благовестие, т.е. учение, различно от ортодоксията на Църквата, дори да се явява във видение като ангел или пък е съвсем реален човек, трябва да бъде предаден на анатема (проклятие) и отлъчен от тялото Христово.
Църквата е съборна (католична) в смисъл на събрание на Божия народ, което е целокупно, в което решенията се взимат съгласно желанието на цялото и в мистично единство с Главата на църковното тяло – Иисус Христос. В края на Апостолския събор, проведен около 50 г. сл. Хр. в град Йерусалим, взетото решение е записано така „Угодно бе на Светаго Духа и нам“ (Деяния 15: 28). Казано накратко, съборните решения на Църквата се вземат под благодатното ръководство на Светия Дух, но те са в пълно единство и с разума на нейните членове, защото „ние имаме ум Христов“ (1 Кор. 2:16)!
Тук трябва да отбележим нещо, което е от изключителна важност!
Светите отци винаги са се отличавали със своята образованост и са били представители на съвременната им християнска наука, т.е. на достиженията на вероучението на Църквата по тяхно време. Християнските отци, разбира се, са изказвали и свои частни мнения (теологумени), понякога дори погрешни, особено по въпроси, по които все още не е имало определена и задължителна за всички формулировка.
Пиер Абелар в един свой труд, озаглавен „Sic et Non“ (Да и Не), съставя списък със 158 въпроси от теологията, по които отците са имали различаващи се мнения, в редица случаи дори – противоположни. В учебника по „Патрология“ на проф. Илия Цоневски можем да се запознаем с конкретните учения на всеки един от църковните отци, учители и писатели. Както ни уверява авторът, „ако няма съмнение, че допускащият грешки църковен писател винаги е желал да остане верен на ортодоксалното учение, Църквата и такъв е признавала за отец“.
Съборните решения на Църквата, обаче, макар да имат за свое основание възгледите на християнските апостоли, отци и учители, стоят по-високо от всяко човешко мнение, защото в тях е отразена Божествената премъдрост, инспирирана от Светия Божи Дух.
Например, Апостолският събор в Йерусалим взема предвид учението на ап. Павел за оправдание чрез вяра, без делата на Закона (виж посланията му до Галатяните и Римляните), Първият и Вторият вселенски събори се позовават на авторитета на редица църковни отци и особено на трудовете на св. Атанасий Велики, в които отношението на Сина към Отца е определено с термина „единосъщен“. На заседанията на Вселенските събори отначало винаги са се прочитали свидетелства „от писанията на светите и изпълнени със страх Божи, отци, епископи и мъченици“! Но при вземането на всички съборни решения неотклонно е важала формулата „Угодно бе на Светаго Духа и нам“.
Затова християнинът винаги трябва да се придържа към ортодоксията на Църквата, защото в нея са преодолени слабостите в мненията на отделните отци, а е отразен съборният разум на Църквата, вдъхновен от тайнствената Божия премъдрост, която е надразумна и ни се открива от Главата на Църквата – Господ Иисус Христос!
Например, догматите за Троицата и богочовешката природа на Христос са надразумни и дълго време остават неразбираеми за другите религии, поради което християнството е упреквано в многобожие, най-вече от юдаизма и исляма.
Преди около 100 години, обаче, във връзка с интерпретацията на квантовата механика, датският физик Нилс Бор издигна т. нар. принцип на допълнителността. В по-общ вид той може да се предаде така:
„За възпроизвеждане на целостта на явленията в микросвета е необходимо в познанието да се прилагат изключващи се класове от понятия като взаимнодопълващи се”.
Принципът на допълнителността е в сила, когато опитно установените признаци на един обект имат вид на взаимно изключващи се, например корпускулярно-вълновите свойства на елементарните частици. Последните като че ли съчетават в себе си напълно противоречиви качества, понеже от една страна частиците са дискретни, а от друга – вълните се разпространяват безкрайно в пространството. Тоест някои аспекти от физическата реалност, макар да изглеждат като несъвместими, трябва да се приемат като взаимнодопълващи се, обуславящи единната същност на обектите и явленията.
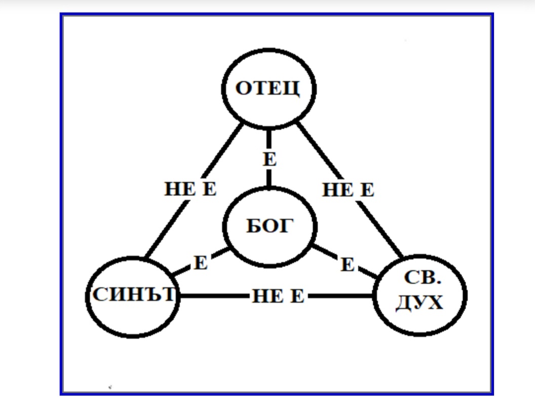
Светите отци, под вдъхновението на Светия Дух, хиляда и петстотин години преди учените са стигнали до този постулат, още когато са формулирали основните догмати на християнската вяра – „Бог е един, но изявен в три Личности” (фиг. 1); „Иисус Христос е всемогъщ Бог и истински Човек” и пр.
Фиг. 1 Илюстрация на Троицата.
Необходимо е да имаме предвид обаче, че никоя илюстрация не е в състояние да улови пълнотата на библейското учение за Троицата. Диаграмата представя единството на Божеството, като показва всяка Личност като Бог, същевременно разграничавайки я от другите две Личности.
Принципът на допълнителността на Нилс Бор свидетелства, че е възможно да има обединение между противоречиви твърдения, а експерименталната база на квантовата механика доказа неговата валидност и правдивост. Микрообектите са 100% вълни и 100% частици, като вълните са безкрайни, а частиците – дискретни. По подобен начин Иисус Христос е абсолютно неограничен Бог и напълно действителен човек.
Налага се да отворим една скоба, обаче! Принципът на допълнителността е валиден само в определени области от действителността – а именно относно естеството на микрокосмоса. Този принцип се отнася и до определени области от теологията, т.е. онези, които се отнасят до Бога, понеже знанието за Него не може да бъде постигнато от човешката логика, а се определя от откровението, дадено в Библията. За всички други области важи формалната логика, според която две противоположни съждения не могат да бъдат едновременно истинни, т.е. ако едното е истина, другото по необходимост е неистина.
Всички идейни системи (философии, религии, политически идеологии и пр.) съдържат именно такива антагонистични противоречия, които не позволяват тяхното обединение. Според християнството преди Второто, вече небесно, пришествие на Христос над земните народи ще се издигне един политически и религиозен лидер, наречен Антихрист (понеже ще отрича спасението чрез Агнеца на кръста). Той е очакван в есхатологията (учението за последните времена) на всички други религии като изключителна личност – от юдаизма като Месия, от исляма като Даджал, от индуизма като Световен учител, от будизма като Буда Майтрея и т.н. Затова е твърде вероятно принципът на допълнителността да бъде използван и от Антихриста с обяснението, че макар в религиите да се съдържат взаимноизключващи се твърдения, те могат „надразумно” да се обединят в единна система.
Библията обаче категорично опровергава подобно схващане, защото Бог всякога, твърде рязко, се е разграничавал от боговете на другите племена и народи: „Аз съм Йеова твоят Бог. […] Да нямаш други богове освен Мене.” (Изх. 20:2, 3).
4) Апостолска Църква
Четвъртото свойства на Църквата, според Символа на вярата, е, че тя е „апостолска“. Св. Киприян Картагенски учи, че „Църквата, основана от Христа и апостолите, получила от тях всичко необходимо за нейното съществуване, поддържа с тях непрекъсваема вътрешна връзка чрез учредената от тях приемствена йерархия, а също така и учение, свещенодействия и управление“.
Казано накратко, Църквата през вековете винаги по един и същи начин е живяла и преподавала своето вероучение между народите още от времето на апостолите и ще продължи да го прави без никакво изменение до свършека на века и Второто Христово пришествие! Всички общества, които нямат тази приемственост на свещената йерархия и ортодоксията, водещи началото си още от апостолите на Агнеца, не могат да бъдат отнесени към Църквата Христова! Например, обществата на арианите, савелианите, македонианите и пр., са основани от епископи и клирици на Църквата, които, понеже са се превърнали в ересиарси, са загубили своята апостолска приемственост.
Историческият път на Църквата
Нека повторим, че както Господ Иисус Христос, Който е Глава на Църквата, е Един и Единствен, така и Църквата, която е Негово Богочовешко Тяло, е Една и Единствена. Затова, в строг богословски смисъл, отделилите се от Църквата общности, през нейната близо 2000-годишна история, не могат да бъдат наричани „църкви“, а само християнски конфесии, деноминации и пр.
В популярния светски език е прието тези християнски общности също да се наричат „църкви“, макар да включват еретични доктрини във вероучението си, например – „Арменска църква“, „Католическа църква“, „Лутеранска църква“ и т.н. Ние обаче ще се придържаме към богословската терминология и ще говорим за Църквата в единствено число, защото оживотворяващият я Дух Светий активно съдейства в нея не само да бъде приета и съхранена цялата пълнота на истината, но и тази истина да остане непроменена през всичките дни до свършека на века!
В началото на ХХ век руският църковен историк Павел Малицки пише следното:
„В историята на Християнската църква има такива събития, които служат за предел на един период на нейния живот и за начало на друг. Периодите в живота на Християнската църква са: първи период, започващ от основаването на Църквата и до тържеството ѝ при Константин Велики (34-313); втори – от тържеството на Църквата при Константин Велики до отделянето на Западната църква от Източната (313–1054); трети – от отделянето на Западната църква до падането на Константинопол (1453) за Източната църква и до началото на Реформацията (1517) за Западната църква; и четвърти – от 1453 (съответно 1517 г.) до наше време.“
По-нататък ние ще разгледаме по-подробно всеки един от тези четири периода от историята на Църквата. Сега само ще ги маркираме с няколко изречения.
Свети Йоан Дамаскин нарича Йерусалимската църква „Майка на всички църкви“. А в 3-та Възкресна стихира на Господи Возвах се казва:
Радвай се, свети Сионе, майка на църквите и Божия обител, защото ти първи прие прошка на греховете чрез Възкресението.
„Майка и Родителка на всички църкви“ е Йерусалимската църква, чиито темели са положени от самия Господ и Бог Иисус Христос на основата на светите апостоли и тя е оживотворена като Богочовешки организъм при слизането на Св. Дух на Петдесетница. От Йерусалим благовестието стига до цяла Юдея, Самария и Галилея, а по-нататък се разпространява и между езичниците в Кесария, Антиохия, Мала Азия и по всички краища на Римската империя. Днес християнството е достигнало да всички континенти и до почти всички племена и народи на планетата.
През 70 г. сл. Хр. град Йерусалим е превзет от римския пълководец Тит (който по-късно става император), голяма част жителите му са избити, а други са откарани в плен. Поради тази причина, през следващите няколко стотин години за primus inter pares (пръв между равни) се счита Римският епископ, понеже заема катедрата в столичния град на империята. След схизмата през 1054 г. първенството преминава на Константинополската катедра, пак по същата причина.
За близо 1900 години Йерусалим е владян от римляни, перси, араби, египтяни, турци и англичани. През 1897 г. в швейцарския град Базел е проведен Първият конгрес на ционистите, който взема решение да бъдат призовани евреите от цял свят да се завърнат в Палестина. В следващия половин век над 600 000 евреи отново се заселват в Свещената земя. През 1948 г. е обявено „възкръсването“ на държавата Израел, с което се сбъдват думите на пророк Езекиил:
„Тъй казва Господ Бог: ето, Аз ще взема Израилевите синове измежду народите, между които се намират, ще ги събера отвред и ще ги доведа в тяхната земя“ (Иез. 37:21).
Апостол Павел оприличава евреите на питомна, а езичниците – на дива маслина, присадена допълнително към истинната вяра в Бога – Рим. 11:24. Затова напълно резонно е Йерусалимската патриаршия отново да заеме полагащото ѝ се от Бога място в православния свят!
Погрешни разбирания за Църквата
Лутер преподава следното: „Ние разбираме Църквата в два плана: като видимо общество и като невидимо общуване. Видимото общество или видимата църква, към която принадлежат всички кръстени, в това число и неправедните, и невярващите, е само църковна група от хора, чието съществуване е плод на случайността.” Истинската църква е „духовно общество, обединяващо своите членове в единството на надеждата и любовта, и поради това състоящо се само от вярващи или от оправдани”.
И до днес в повечето протестантски деноминации важи това разграничение. Видимата църква е само административна единица, общество от праведни и неправедни, събрани формално в някаква деноминационна институция. Истинската църква е невидима, която инклузивно включва в себе си искрено вярващите в Христос от всички християнски изповедания, които ще бъдат спасени.
В това определение обаче е допусната логическата грешка, известна като подмяна на тезиса. „Кой ще се спаси“ е един тезис, а това „каква е истината“ е съвсем друг тезис!
Нека внимателно да проследим как ап. Павел изяснява този въпрос, като прави аналогия между Църквата и еврейския народ!
„13. (защото не слушателите на закона са праведни пред Бога, а изпълнителите на закона ще бъдат оправдани;
14. защото, щом езичниците, които нямат закон, по природа вършат законното, те, без да имат закон, сами на себе са закон;
15. че делото на закона е написано в техните сърца, те показват в туй време, когато тяхната съвест свидетелствува, и мислите им една друга се обвиняват, или се оправдават),
16. в деня, когато, съгласно моето благовестие, Бог чрез Иисуса Христа ще съди тайните на човеците.“ (Римл. 2)
Тоест, има възможност да се спасят и отделни хора от другите религии, ако те в сърцата си са праведни пред Бога! Като в същото време, редица от тези които изповядват правата вяра може и да погинат, щом не постъпват спрямо нея!!
Това означава ли, че ИСТИНАТА няма значение? Павел отговаря:
„1. И тъй, какво е предимството на иудеите…?
2. Голямо е предимството във всяко отношение, а главно, че тям е поверено словото Божие.
3. Та какво, ако някои не са повярвали? Нима неверието им ще унищожи Божията вярност?“ (Римл. 3)
Ако отнесем тази аналогия към Църквата, тя ни говори, че има огромно значение обстоятелството, че в нея се пази ИСТИНАТА, независимо, че някои от вярващите постъпват безчинно и може да погубят спасението си. Последният 3-и стих, може да бъде перифразиран и с римската поговорка, че „злоупотребата не обезсмисля добрата (т.е. правилната) употреба“.
Или, ако трябва да обобщим, от думите на Павел излиза, че могат да се спасят и хора, които не са в Църквата, защото са постъпвали според съвестта си и са били движени от искрена любов към Бога и човека.
Но това не означава, че Църквата се обезсмисля или, че може икуменически да се смеси с погрешната вероизповед на тези хора (езичници, монофизити, католици, протестанти и пр.), защото най-важната задача на Църквата е да опази ИСТИНАТА непокътната и в пълнота до Второто Христово пришествие! Професорът по богословие Димитър Попмаринов заявява: „На първо място трябва да е Църквата в нейното учение, а след това е всичко останало“.
Ако Църквата примеси истината със заблудата, ще се загуби стандартът и ще стане невъзможно да се разграничи добро от зло, праведно от грешно, догмат от ерес и пр. По думите на св. Йоан Шанхайски „когато беззаконието стане норма, тогава нищо вече не може да те извади от тинята на греха”. Тоест, щом се размият границите между доброто и злото, грехът става неразпознаваем, а оттам покаянието, освещението и спасението – невъзможни! Затова и Светият Дух винаги ще пази „Църквата като стълб и крепило на истината“. (1 Тим. 3: 15).
Например, в т. нар. либерални протестантски деноминации Библията е претълкувана по такъв начин, че хомосексуализмът не се счита за грях. Поради тази причина в тях редица от епископите, презвитерите и дяконите са гейове, лесбийки или вярващи от десетките социални полове (според джендър-идеологията), защото се смятат за „непорочни“, каквато е заповедта на Бога за служителите, ръкополагани в свещен сан (1 Тим. 3:2, 10). Но щом грехът се превърне в норма, тогава никой вече не се покайва и не го изоставя, което може да стане причина и за вечната раздяла с Бога на хората в посочените общества!
В протестантския свят съществува и т. нар. „теорията за клоните”, която обявява различията между християнските конфесии за незначителни и маловажни. Посочената идея възниква в англиканското общество – за пръв път е формулирана към края на XVIII век от натурфилософа Чарлз Добени, но към средата на XIX век е значително по-добре разработена от оксфордския теолог Уилям Палмър в неговия двутомен „Трактат за Църквата Христова” (1838 г.). Според „теорията за клоните“ всяка църковна традиция притежава само част от истината, затова православни, монофизити, католици и протестанти са като клоните на едно дърво – техните учения взаимно се допълват и едва когато всички се обединят, заедно ще съставят тази една Църква на Христос.
Но както правилно отбелязва православният духовник Джулиан Овербек: „Тази теория се основава на едно корпоративното обединение на християнския свят, което напълно игнорира всички апостолски учения относно разкола и ереста“!
В по-нова време тази концепция е доразвита от англиканския теолог и философ проф. Джон Хик, който включва в нея и всички световни религии. В своята книга „Тълкуване на религията: човешките отговори на трансцендентното“ (2004), той заявява: „Макар в различните религии да се използват различни концепции и имена за Бога, то в онтологичен смисъл всеки вярващ човек по земята се покланя на една и съща свръхестествена Реалия”.
За съжаление, редица съвременни богослови от диоцеза на Истанбулската патриаршия са възприели това схващане, ефикасно полагащо основите за създаването на „единната световна религия”, за която сме предупредени от отците и учителите на Църквата, че един ден ще приеме за свой архипастир Антихриста. Например, архиеп. Елпидофор (спряган за бъдещ Истанбулски патриарх), обяви патриарх Вартоломей за „самото въплъщение на икуменизма“ и за „духовен отец на всички хора, независимо дали те осъзнават това или не“. Съвсем ясно заявление, че патриарх Вартоломей се възприема от своите адепти, като днешния „духовен лидер на Единната световна религия“, защото само ако различните вярвания се разглеждат като обединени от икуменизма може да се говори, че има „един духовен отец на всички хора“!
Разбира се, съществуват и други теории (за „Евангелската църква“, за „Сестринските църкви“, за „Двата бели дроба“ и пр.), но нито една от тях не удовлетворява критериите за „една-единствена Църква“, зададени от Христос и апостолите в Новия Завет и утвърдени в Символа на вярата!
Възможен ли е християнски или междурелигиозен икуменизъм, т.е. обединение на религиите?
Вече отбелязахме, че ортодоксията на Църквата няма как да се обедини с вероучението на либералните протестантски деноминации, защото там грехът е превърнат в норма. Така наречените „Ориенталски православни църкви“ (Арменска, Коптска, Етиопска и др.) се придържат към монофизитската ерес, а в Католическата църква са допуснати голям брой други ереси (за всички тях ще говорим по-нататък), което прави недопустимо сливането в едно на всички християнски конфесии.
Непосредствено преди Своето разпятие, през нощта в Гетсиманската градина, нашият Господ Иисус Христос се моли на Бога с думите: „Отче Мой, ако е възможно, нека Ме отмине тая чаша, обаче не както Аз искам, а както Ти“. (Мат. 26: 39).
Ако беше възможно светът да бъде изкупен и спасен по някакъв друг начин, Бог не би изпратил на толкова мъчителни кръстни страдания Своя възлюбен Син, още повече, че Той не е сторил никакъв грях! Тоест, един междурелигиозен икуменизъм, който приема всички религии за еднакво спасителни „пътечки към Бога“, би направил Христовата жертва абсолютно безполезна!
Ап. Павел, обаче, ни съветва да живеем в мир и разбирателство с хората, независимо от техните религиозни убеждения: „Ако е възможно, доколкото зависи от вас, бъдете в мир с всички човеци“. (Римл. 12: 18)
Заключение
Според думите на нашия Господ и Спасител Иисус Христос „портите адови няма да надделеят“ над основаната от Него „Една, Свята, Съборна и Апостолска Църква“ и тя ще запази през вековете истинната ортодоксия до момента на Второто Му, вече небесно, Пришествие!
Бележки:
1. Sic Et Non: A Critical Edition (English and Latin Edition)
2. Цоневски, И., „Патрология“, Синодално издателство, София, 1986, с. 12.
3. История на Християнската църква, Том I
https://electronic-library.org/books/Book_0072.html
4. Отхвърляне на апостолското разбиране за Църквата и за свещенството
https://pastir.bg/pages/biblioteka/pravoslavie/za_sveschenstvoto_1_chast.php
5. Проф. д-р Димитър Попмаринов: „В Символа на вярата Църквата е една. И тя не е нито българска, нито руска, нито гръцка“
6. Overbeck, J Joseph (1881). A plain view of the claims of the Orthodox Catholic Church as opposed to all other Christian denominations. London: Trübner. p. 112
https://archive.org/details/aplainviewclaim00overgoog/page/n124/mode/2up
7. Hick, J., „An Interpretation of Religion: Human Responses to the Transcendent.” Palgrave, 2004.
8. Homily by His Eminence Archbishop Elpidophoros of America; At the Great Vespers on the Feast of the Holy Apostle Bartholomew Saint Bartholomew’s Church (Episcopal) New York; New York; June 10, 2023


Вашият коментар